1. 오존파괴지수와 온난화지수의 기준물질은? (17 하 서부)
- 오존파괴지지수(ODP:Ozone depletion potential)
- 오존층 파괴물질 규제 협약
- (17하 남부랑다른곳에도 나옴) 온실가스인 것은?온실가스 아닌 것은?
- 온난화지수 (GWP : global warming potential)
- 쿄토의정서 : 기후변화협약에 따른 온실가스 감축목표에 관한 의정서
2. 대기오염물질 2차오염물질은? (17하 동서)
- 1차 오염물질
: 발생원(자동차,공장)에서 직접 대기로 배출되는 물질
CO, Cl2, HCl, H2S, NaCl, Pb, Zn, HC, N2O3, SiO2
- 2차 오염물질
: 1차오염물질이 대기중에서 광화학 반응으로 합성 분해되어 발생하는 물질.
산화제(Oxidant)가 여기에 속한다.
O3, PAN, PPN, PBzN,NOCl, 아크롤레인(CH2CHCHO), H2O2 등
- 1,2 차 오염물질
: 발생원에서 직접배출되기도 하고 , 대기중에서 광화학 반응으로도 생성되는 물질
NO, NO2, SO2, SO3, H2SO4, 알데히드(-CHO), 유기산, 케톤
3. 광화학반응시 필요없는 인자?(17하 동서)
빛세기, 반응물양, 오존농도, 대기안정도


4. 다운워시를 방지하기 위해서 토출속도를 풍속보다 몇배로 조절?(17하 동서)
- 다운워시(Down wash)현상
: 세류현상(Creep), 풍속(U)이 배출가스의 토출속도(Vs)보다 큰 경우에 발생, 굴뚝 풍하측을 오염시키는 현상, 방지하기 위해 Vs를 U보다 2배크게 해야 함
원인 : U > Vs
방지대책 : Vs > 2U
- 다운 드래프트(Down draught)
: 역류현상, 굴뚝주위에 건물이 있을 때 발생, 굴뚝의 높이가 건물높이보다 낮을 경우 건물 뒤편에 공동현상이 발생, 이공동에는 대기오염물질의 농도가 극히 높.
이 현상을 방지하기 위해 굴뚝높이를 건물높이의 2.5배 이상
원인 : 굴뚝 앞에 장애물이나 건물 존재
방지대책 : 굴뚝높이를 앞 건물높이의 2.5배 이상
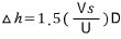
4. 유효굴뚝지름?(17하 서부)
- 유효굴뚝 높이
:연기분자의 모멘텀때문에 연기의 상승높이(h)를 구한 후 유효굴뚝 높이 산출
유효굴뚝높이 = 실제굴뚝 높이 + 연기 상승높이
- 연기의상승높이

U( m/sec),Vs(m/sec),D(m)
- 최대착지농도 Cmax

5. 대기확산모델 ( 상자모델,가우시안모델 등) (17하 동서/남부)
- 상자모델
: 대기오염물질이 면 배출원일 때 적용
가정조건)
1. 배출된 대기오염물질은 방출과 동시에 균일하게 혼합된다.
2. 대기오염 배출원이 측정지역에 균일하게 분포되어 있다.
3. 바람의 방향과 속도는 일정하다.
4. 배출오염물질은 다른 물질로 전환되지 않으며 1차 반응만을 한다.
5. 배출원은 면 배출원이다.
'배우는 기쁨' 카테고리의 다른 글
| 경매 첫 입찰 기록. 초보의 경매 입찰 후기 (3) | 2024.12.19 |
|---|---|
| [Short] Learning New Languages - 링글 7 (0) | 2024.06.24 |
| [Short] Learning New Languages - 링글 6 (0) | 2024.06.24 |
| [Short] Improve Your English Five Times Faster with This Trick- 링글 5 (0) | 2024.06.24 |
| Making Friends with Americans- 링글4 (1) | 2024.06.24 |